欢迎来到石家庄冀联医学院网站!
设为首页
丨
加为收藏
首页
学校简介
学校动态
招生信息
专业课程
医学单招
学校环境
对口升学
3+2大专
医学百科
新生问答
网络报名
联系我们
对口升学
当前位置:
石家庄冀联医学院|石家庄冀联医学中等专业学校
>>
对口升学
>> 浏览文章
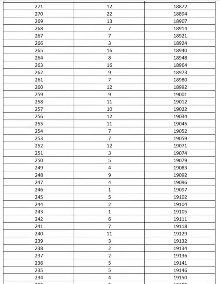
2022年河北省高职单招考试七类一分一档表
相关阅读:
2026年河北省中职单招医学类个别院校分数线参考
2026.03.14
学校组织召开学生管理工作研讨会
2024.10.16
石家庄冀联医学院新生军训完美落幕,青春风采绽放冀联
2024.09.02
2024年石家庄市中考各类学校招生控制分数线
2024.07.02
石家庄市中考2024年一分一档统计表
2024.07.02
石家庄冀联医学院地址,公交路线
2024.06.29
快速导航
招生简章
收费标准
优惠政策
录取分数
入学须知
对口升学
网上报名
招生条件
热门排行
●
2026年河北中考科目有哪些及各科分数
●
2026年石家庄冀联医学院宿舍统一标准收费了
●
2026年石家庄冀联医学中等专业学校可以报考哪些大专学校?
●
2026年石家庄冀联医学院有3+2大专吗?
●
石家庄冀联医学中等专业学校2026年有3+2护理大专吗?
●
2026年河北中考总分800分包含哪些科目?
招生信息
2026年石家庄冀联医学中等专业学校秋季招生简
适合初三生报考的六个医学专业推荐-石家庄冀
石家庄冀联医学中等专业学校第三年去实习还是
2026年石家庄冀联医学中等学校学费多少?贵吗
2026年石家庄冀联医学中等专业学校只有秋季招
石家庄冀联医学中等专业学校2026年招生专业有